Note: The Florida Fish and Wildlife Conservation Commission (FWC) is holding a public meeting on April 25th which will include the issue of land-based recreational shark fishing. Part of my dissertation research focused on this topic, so I am submitting expert testimony, but since I no longer live in Florida I am submitting it remotely. I am sharing my testimony here. Anyone else who is interested in attending the meeting in person (Fort Lauderdale Marriott on April 25th), or submitting testimony remotely, is free to quote my talking points below if the appropriate references are cited.
Dear Chair Rivard, Vice Chair Spottswood, Commissioner Kellam, Commissioner Lester, Commissioner Nicklaus, Commissioner Rood, and Commissioner Sole of the Florida Fish and Wildlife Conservation Commission (FWC),
My name is Dr. David Shiffman, and I studied land-based shark fishing in Florida as part of my Ph.D. dissertation at the University of Miami’s Abess Center for Ecosystem Science and Policy. This research was published in the peer-reviewed scientific journal Fisheries Research (here’s a link to an open access copy) and covered in major media outlets including National Geographic, Nature, and the Miami Herald. Accordingly, I would like to provide expert testimony for your April 25th public hearing on this topic. Since I no longer reside in Florida I am submitting this testimony remotely. As a conservation biologist who spent years studying harmful practices among some elements of the land-based Florida shark fishing community, I am grateful to see FWC holding a public meeting that includes this important issue, and I am grateful for the opportunity to contribute.
Overall, the scientific evidence is clear and overwhelming that while many anglers are rule-following and conservation-minded, many common land-based shark fishing practices represent a significant conservation threat to threatened, protected shark species in Florida. Additionally, the evidence is clear and overwhelming that in many cases anglers are breaking existing laws and regulations, and that in some of those cases the anglers are aware that they are breaking the law and are explicitly stating that they don’t care. Finally, the evidence is clear and overwhelming that many of the arguments put forward by land-based anglers in support of the status quo are not argued in good faith, and are intentionally crafted to misrepresent the facts of the situation.
It is obvious to me, and to many expert colleagues with whom I have discussed this issue, that the FWC can and must do more to protect threatened sharks, building off of early successes that made Florida a leader in shark conservation. Specifically, the FWC can and must do more to regulate these harmful practices, enforce clear violations of existing regulations, and educate anglers about these issues. Below I will elaborate on each of these points and propose specific regulatory, enforcement, and public education changes that can be made to protect sharks without significantly infringing on anyone’s rights. I will also counter several common arguments that are put forth by bad actors in the recreational angling community.
Sharks are a highly threatened group of animals, and overfishing is the largest threat they face. While it is commonly believed that recreational fishing pressure has no impact on shark population dynamics, this is simply not true. For the last several years in US waters, more non-dogfish sharks have been killed by recreational anglers than by commercial fisheries, and Florida is a recreational shark fishing hotspot. After realizing that there was an epidemic of illegal activity among land-based shark anglers in Florida, I decided to quantitatively and scientifically study this practice as part of my Ph.D. dissertation research.
Let’s quickly review the relevant regulations and what counts as illegal behavior. For shark species in the prohibited species list in Florida, Florida code 68B-44 is clear that “Landing” means “the physical act of bringing an animal ashore,” and that any animal that is not released “free immediately alive and unharmed” is considered to be “Harvested.” FWC’s own best practices guide notes that “it is never legal to delay the release of a prohibited species to measure your catch or pose for a photograph.” If a shark on the prohibited species list is brought completely out of the water, it is “landed,” and that is illegal. If a shark is not released “free, immediately, alive and unharmed,” it is considered harvested and that is illegal for species on the prohibited species list. If there is any delay in release, including a delay to measure the fish or pose for photographs with it, that is illegal. Though some land-based anglers sometimes try to muddy the waters here, the facts concerning these regulations are clear and not in dispute, and have been confirmed to me by several conversations with FWC law enforcement. At least some land-based shark anglers are fully aware that they are breaking the law and explicitly state that they don’t care, but more on that later.
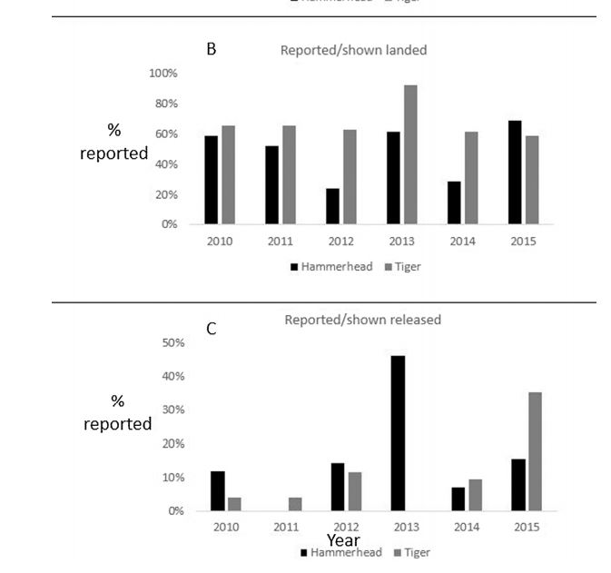
For my research project, I looked at an online discussion forum used by hundreds of land-based recreational shark anglers in Florida. All names were anonymized and all faces were blurred to protect the privacy of individual anglers, the focus was on aggregate behavior of the group. I will note that this research paper was singled out by the American Fisheries Society as an example of research that sets a gold standard for scientific ethics using online tools, something that I’m very proud of. This research looked at how these anglers talk to one another when they believe that outsiders (including law enforcement) isn’t looking (though I will note that we did not have to create an account on the online forum to be able to read all these posts, they were all publicly visible). We had three main findings that I would like to briefly summarize here.
First, we found a minimum of 389 cases of land-based shark anglers clearly and unequivocally breaking the law. Protected species are taken completely out of the water, and therefore are landed. Protected species are clearly not being released “immediately.” In some cases do not appear to be released “alive and unharmed” (While it is difficult to ascertain the health of an animal from a photograph, I’ve been up close to thousands of sharks during my research, and healthy ones do not sit still in a straight line while being barely secured by one person’s hand. We often need 3 or 4 or 5 undergraduate interns to restrain healthy sharks of the sizes depicted in these photos). Protected species are being measured before release. Anglers are posing for photos with protected species before release. There were countless more borderline cases, but there were at least 389 unequivocal cases of land-based shark anglers in Florida breaking the law. I will note that many land-based anglers are responsible, rule-following, and conservation-minded, and are concerned about the bad practices of these other anglers.
Secondly, we found that the 2012 addition of hammerhead sharks and tiger sharks to the state prohibited species list had no effect on reported handling and release behaviors of land-based shark anglers. In fact, there were numerous complaints at the time of this regulation change, with some anglers explicitly stating that they would not change their practices because of it. Simply changing regulations is not enough if they are not communicated to the angling community and strictly enforced.
Finally, our most troubling finding was that some land-based shark anglers were clearly aware that they were breaking the law and explicitly stating that this did not bother them. Several striking quotes are included in my paper. We also found extensive discussions of how to break the rules without getting caught by FWC law enforcement, and what to say to a FWC law enforcement officer if you are caught to avoid getting in trouble. We saw elements of this prepared script play out in media coverage of anglers who were investigated for breaking the rules.
Suggested policy and enforcement changes:
Clarify the regulations, at least for physiologically vulnerable hammerhead sharks which often die even if released, concerning handling and release for prohibited species. For hammerhead sharks, it is important to cut the line as soon as possible. Swimming away while trailing yards and yards of fishing line is not great for a shark, but if an angler fights it for hours and drags it up onto the beach (where it can’t breathe and lacks the buoyant support of water) just to remove the hook, that shark will almost certainly die. 40 minutes or so of “fight” seems to be a pretty critical number, much longer than that and the animal is likely to be so stressed that it will die even if released. Many anglers report that they fight hammerhead sharks for much, much longer than that. If the goal is survival of these IUCN Red List Endangered sharks, than a simple ban on retention is not enough. We need to keep up with the best available science and limit long fight times by requiring cutting the line as soon as possible.
Clarify the definition of “landed.” Currently if a prohibited shark species has the tip of a fin still in the water, it is not legally considered landed, although it is suffering from the same physiological stress (likely including permanent gill damage) associated with air exposure as if it would if it were a few feet up the beach. For protected, physiologically vulnerable species of sharks, the legal standard should be leave them in the water enough that their gills are still mostly or completely submerged.
Remove incentives for targeting hammerhead sharks. It is illegal in Florida state waters to land, harvest, or delay the release of hammerhead sharks to pose for photos or measure your catch. So how is it possible that a hammerhead shark focused fishing tournament is still allowed to operate? This needs to be stopped immediately.
Currently, it is illegal to land or harvest hammerhead sharks and tiger sharks in Florida state waters, but legal in adjacent Federal waters. Bafflingly, it is *also* legal to catch these species in adjacent Federal waters and land them in a Florida port! This is not the case for nearly any other species that is protected in state waters but not adjacent Federal waters, and should be changed so that if you cannot land or harvest a species in Florida waters, you can’t catch it elsewhere and land it in a Florida port.
My research shows that Florida’s land-based shark anglers believe that they are victims of powerful, monied interests that keep them from fishing on certain beaches. Certainly some regulations concerning beach usage preferentially favor wealthy tourists over blue-collar residents. Some kind of multi-stakeholder use agreement is needed here to ensure equitable access to the beach, and it is important to ensure that rule-following anglers are not just allowed to fish in the places that tourists don’t want to go. (Land-based anglers believe that their practices do not draw sharks to the beach but that they are targeting sharks that are already there, and there’s certainly truth to that, but chumming next to a beach full of swimming tourists is still inadvisable). Land-based fishing hotspots could also be augmented with extra resources to assist anglers in the safe handling and release of their catch, or in-water measurement devices that would allow measuring the catch without delaying release, or stationary photography that would allow for great pictures without delaying release. They could also be hotspots of enforcement, since FWC law enforcement officers cannot be expected to patrol every inch of beach in Florida.
Similarly, the responsible elements of the land-based angling community need a seat at the table when discussing regulations that affect them. Currently, they believe that this is not the case, and that commercial fisheries and charterboat fisheries have much much more power. Giving them a seat at the table does not mean allowing illegal harmful practices, but it should mean working together to find solutions that work while treating them with respect. Respectful public education and stakeholder outreach efforts must be ramped up, focusing on explaining why certain fishing practices are harmful and what alternatives should be used instead- the goal is not banning fishing, the goal is modifying demonstrably harmful practices.
Finally, clear violations of the rules must be enforced. When I have communicated past clear cases of lawbreaking to FWC law enforcement, I have been told that online evidence is not sufficient for an investigation, even if the angler took a video of them clearly breaking the law and bragging about it and posted it online themselves. I wonder if that policy, which wildlife law enforcement officers from several other states laughed at when I asked them about it, is no longer the case given the high profile recent “shark dragging” case?
Counters to bad faith arguments made by elements of the land-based shark fishing community
Whenever scientists and conservation activists make these points, three bad faith arguments are often presented by bad actors in the land-based shark fishing community. Below I briefly list and debunk them, as you will almost certainly hear versions of these arguments during the public meeting.
“It’s not landed/harvested if I release it.” This is demonstrably false. Landing and harvesting have clear, explicit definitions under Florida law. If the animal is handled inappropriately before release, the rules were clearly still broken. Additionally, as noted above, many land-based anglers are aware that they are breaking the law, but later deny it if confronted by law enforcement.
“The real problem is commercial fishing, don’t worry about what I do as a recreational angler.” This is not a good faith argument. Commercial fisheries in the US are heavily regulated to minimize their harm on shark populations, and recreational anglers should be regulated as well. Their impact is not negligible.
“I can’t control what I catch.” Anglers spend thousands of dollars and years of their lives gathering specialized training, equipment, and tips. If I told a charter captain in Key Largo that I wanted to catch mahi-mahi, he’d get me on some mahi-mahi. If I told that captain that I’d rather catch a tarpon, we could easily do that instead. But suddenly when people are getting trouble for breaking the rules, “oh well, no one can control what they catch?” More importantly, the problem has nothing to do with catching protected species, the problem involves illegal, unnecessary, and harmful handling after the shark is caught. If a protected species is released free immediately alive and unharmed, no rules are broken.
Conclusion
While many Florida shark anglers are rule-following, conservation-minded individuals, there are some bad actors in the community, and some common practices are demonstrably harmful to threatened shark populations. Further regulatory action is needed to protect threatened shark species in Florida, and this can and should be done in a way that incorporates the needs and experiences of rule-following anglers without significantly infringing on anyone’s rights. I am available to answer any follow-up questions that you may have about this important issue, and I thank you for allowing me to contribute my expertise.
Sincerely,
Dr. David Shiffman
Liber Ero Postdoctoral Research Fellow in Conservation Biology
Simon Fraser University
AUTHOR’S NOTE: I am happy to answer any questions asked in good faith, but I am not going to waste anyone’s time arguing about whether water is wet or whether the sky is blue. Please see our comment policy.
If you appreciate my shark research and conservation outreach, please consider supporting me on Patreon! Any amount is appreciated, and supporters get exclusive rewards!
